By Daniel Brouse and Sidd Mukherjee
August 25, 2023
Update: 2024
How fast are humans causing the climate to change? When we started our experiments in the 1990's, we thought the time scale was in millenniums. If climate change were happening on a linear basis, we would have been correct; however, by the late 90's we were convinced climate change was non-linear.
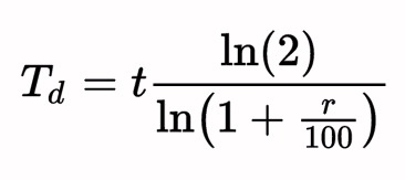
Doubling time refers to the duration needed for a quantity to double in size, a characteristic of exponential growth. By 2020, substantial data revealed that the doubling time for certain anthropogenic climate impacts had decreased significantly, shifting from 100 years to merely 10 years. For instance, the rate of sea level rise has surged from approximately 1.5 millimeters per year to over 3 millimeters. This trend suggests that the doubling period is likely to further contract, heightening the prospect of sea levels ascending at a rate of one foot per year by 2050.
T_{d}=t \frac{\ln (2)}{\ln \left(1+\frac{r}{100}\right)}
| = | doubling time | |
| = | time | |
| = | growth rate |
Though the rate of change in climate disasters' intensity, duration, and likelihood vary according to the type of extreme weather, a "rule-of-thumb" can be derived from the Canada wildfires of 2023. The World Weather Attribution Organization found, "Climate change made the cumulative severity of Quebec's 2023 fire season to the end of July around 50% more intense, and seasons of this severity at least seven times more likely to occur."
50% more intense
7 x more likely
These numbers may be similar in other catastrophes like atmospheric rivers, hurricanes, heat waves, droughts, floods, tornadoes, and sea level rise.
If the doubling time remains at 10 years, we could see extreme events 100% more intense and/or longer in duration, as well as, 14 times more likely to occur. As mentioned above, we expect the doubling time to be reduced. If the doubling time is 5 years, in ten years we could see 200% more intense and longer extreme weather events being 28 times more likely to occur.
2024 Update
Global average sea level rose by about 0.3 inches (0.76 centimeters) from 2022 to 2023, according to a NASA-led analysis. When we authored this paper in 2023, we could not have foreseen the swift acceleration of this trend. Initially projected to double over a span of 100 years, the rate of sea level rise dramatically escalated, shortening the doubling period to a mere 10 years by 2020. Shockingly, recent observations suggest that this doubling period has further compressed to just 2 years. It is imperative to acknowledge and address this concerning trend, hoping it is not a foreboding indication of a new norm but rather an anomaly.
Sidd elaborated, "I suspect this is linked to the large jump in sea surface temperature last year, perhaps because of the restriction on sulfur in marine fuel. The top of the ocean warmed quickly and expanded. Let's see if it is sustained." 2023, the hottest year on record overall, was also the warmest year recorded for the world's oceans. A study published in Advances in Atmospheric Sciences found that the upper 2,000 meters of the ocean warmed by 15 zettajoules in 2023 compared to 2022. As water warms, it expands. This thermal expansion contributes to approximately half of the current rise in sea level.
At what rate is climate change accelerating?
A: Rapidly
As described above, we do not know the rate of acceleration other than to say it is more rapid than previously thought. In the summer of 2023, the extreme temperatures left most climate scientists shocked. The average earth surface temperature recorded record highs for months reaching over 3 degrees Celsius above pre-industrial levels. The Paris Agreement calls for keeping temperatures below 1.5 degrees. Scientists concur that a rise of 2 degrees will trigger feedback loops and tipping points. Triggering these tipping points results in the CO2 stored in nature to be released at an exponential growth rate. How extreme the
acceleration will be depends on tipping points toppling other tipping points in what is known as
The Domino Effect. Toppled tipping points
will continue to shrink the doubling time and exponentially increase the rate of global warming.
Though we do not know how much carbon is stored in nature, it would be reasonable to assume that the temperature could be pushed from 3 degrees to 6 degrees above pre-industrial levels. Humans can not thrive above a rise of 1.5 degrees. Humans can not survive if the temperature rises 6 degrees.
About the 2023 wildfires in Hawaii, Governor Josh Green said, "For perspective, we've had six fire emergencies this August, we had six fire emergencies between 1953 and 2003. That's how- how fast things are changing. I know that there is debate out there whether we should be talking about climate change or not. Well, let's be real world, climate change is here we are in the midst of it with a hotter planet, and fiercer storms."
About the catastrophic die-off of 10,000 emperor penguin chicks in the Antarctic, Dr. Caroline Holmes of the British Antarctic Survey (an expert on Antarctic sea-ice) said, "What we're seeing right now is so far outside what we've observed previously. We expected change but I don't think we expected so much change so rapidly."
Some areas of the world are now warming so fast, it is becoming more difficult to measure the change from "normal" or average. Jeff Boyne, National Weather Service meteorologist and climatologist, said, "There are climate normals that are updated every 10 to 15 years, because the planet is warming so fast. The ENSO (El Nino-Southern Oscillation) regions are warming so fast that those normals are being updated every 5 years."
"It's so far outside anything we've seen, it's almost mind-blowing," says Walter Meier, who monitors sea-ice with the National Snow and Ice Data Center. "September was, in my professional opinion as a climate scientist, absolutely gobsmackingly bananas," said Zeke Hausfather, at the Berkeley Earth climate data project."
* Our climate model uses chaos theory in an attempt to adequately account for humans and forecasts a global average temperature increase of 9 degrees Celsius above pre-industrial levels. Everybody has the responsibility not to pollute. There are plenty of things you can do to help save the planet. Stop using fossil fuels. Consume less. Love more. Here is a list of additional actions you can take.
Measuring Sea Level Rise, Storm Surge, and Gravity
The Reign of Violent Rain
Climate Change: The Equation
Climate Change: How Long Is "Ever"?
Climate Change: The End of Times